Apa itu Harmonik?
Harmonik merupakan gangguan pada sistem distribusi tenaga listrik yang disebabkan oleh distorsi gelombang arus dan tegangan. Didefinisikan sebagai gelombang-gelombang frekuensi berbeda yang merupakan perkalian bilangan bulat dengan frekuensi dasarnya, harmonisa dapat memberikan dampak negatif pada sistem kelistrikan.

Contoh frekuensi harmonisa adalah 150 Hz (harmonisa ketiga dari frekuensi dasar 50 Hz). Gelombang harmonisa ini, ketika bercampur dengan gelombang murni, menciptakan gelombang terdistorsi yang dapat menyebabkan berbagai masalah.
Penyebab Harmonisa
Beban non-linear seperti tungku api busur, las, inti magnet pada trafo, mesin sinkron, adjustable speed drives, dan lainnya dapat menyebabkan harmonisa pada saluran listrik. Penggunaan beban non-linear semakin meningkat pada jaringan distribusi, meningkatkan distorsi gelombang arus dan tegangan.
Contoh-contoh beban non-linier
Beban non linier bisa mengakibatkan harmonisa muncul pada suatu saluran listrik. Apa saja contoh beban linier tersebut?
- Tungku api busur (pengecoran logam)
- Las
- Inti magnet pada trafo dan mesin-mesin yang berputar
- Mesin-mesin sinkron
- Inverter
- Solid state switch
- Transmisi HVDC
- Inverter photovoltaic
- Lampu LED
Dampak Harmonisa
Harmonisa dapat menyebabkan rusaknya peralatan listrik, penurunan daya pada transformator, overheating pada motor listrik, kesalahan pengukuran pada alat ukur kWH meter, kegagalan fungsi relay, dan bahkan terbakarnya kabel.
Bahaya THD Tinggi
Total Harmonic Distortion (THD) yang tinggi dapat membahayakan sistem tenaga listrik.
- Potensi rusaknya peralatan listrik dan peralatan elektronik
- Penurunan daya, overheating,
- Kesalahan pengukuran,
- Kegagalan fungsi relay, dan
- Terbakarnya kabel dapat terjadi akibat THD yang tinggi.
Standar Distorsi Harmonisa
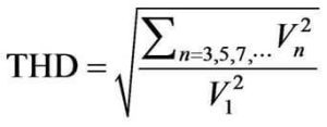
Indikator umum distorsi harmonisa adalah THD, diukur sebagai persentase root mean square dari nilai harmonisa terhadap nilai root mean square fundamental. Standar distorsi arus telah ditetapkan dalam IEEE std. 519-1992 untuk sistem distribusi, sub transmisi, dan transmisi.

Cara Mengatasi Harmonisa
Untuk mengatasi harmonisa, salah satu solusi yang efektif adalah pemasangan filter, seperti filter pasif L, filter pasif C, dan filter pasif LC (Low Pass Filter). Filter ini membantu mengurangi dampak harmonisa pada sistem kelistrikan.
Jika Anda atau fasilitas Anda mengalami masalah harmonisa, hubungi kami untuk survey gratis. Bagi yang memiliki referensi, dapatkan penghasilan tambahan melalui program referral marketing kami. Kami, PT Sarana Energi Investama, adalah Ahli Kelistrikan Profesional yang siap membantu mengoptimalkan kinerja sistem tenaga listrik Anda. Terima kasih atas perhatian Anda! 🙂
